arviz.plot_trace#

arviz.plot_trace(data, var_names=None, filter_vars=None, transform=None, coords=None, divergences='auto', kind='trace', figsize=None, rug=False, lines=None, circ_var_names=None, circ_var_units='radians', compact=True, compact_prop=None, combined=False, chain_prop=None, legend=False, plot_kwargs=None, fill_kwargs=None, rug_kwargs=None, hist_kwargs=None, trace_kwargs=None, rank_kwargs=None, labeller=None, axes=None, backend=None, backend_config=None, backend_kwargs=None, show=None)[source]#

Plot distribution (histogram or kernel density estimates) and sampled values or rank plot.

If divergences data is available in sample_stats, will plot the location of divergences as dashed vertical lines.

Parameters:
data: obj

Any object that can be converted to an arviz.InferenceData object Refer to documentation of arviz.convert_to_dataset() for details

var_names: str or list of str, optional

One or more variables to be plotted. Prefix the variables by ~ when you want to exclude them from the plot.

filter_vars: {None, “like”, “regex”}, optional, default=None

If None (default), interpret var_names as the real variables names. If “like”, interpret var_names as substrings of the real variables names. If “regex”, interpret var_names as regular expressions on the real variables names. A la pandas.filter.

coords: dict of {str: slice or array_like}, optional

Coordinates of var_names to be plotted. Passed to xarray.Dataset.sel()

divergences: {“bottom”, “top”, None}, optional

Plot location of divergences on the traceplots.

kind: {“trace”, “rank_bars”, “rank_vlines”}, optional

Choose between plotting sampled values per iteration and rank plots.

transform: callable, optional

Function to transform data (defaults to None i.e.the identity function)

figsize: tuple of (float, float), optional

If None, size is (12, variables * 2)

rug: bool, optional

If True adds a rugplot of samples. Defaults to False. Ignored for 2D KDE. Only affects continuous variables.

lines: list of tuple of (str, dict, array_like), optional

List of (var_name, {‘coord’: selection}, [line, positions]) to be overplotted as vertical lines on the density and horizontal lines on the trace.

circ_var_namesstr or list of str, optional

List of circular variables to account for when plotting KDE.

circ_var_unitsstr

Whether the variables in circ_var_names are in “degrees” or “radians”.

compact: bool, optional

Plot multidimensional variables in a single plot.

compact_prop: str or dict {str: array_like}, optional

Defines the property name and the property values to distinguish different

dimensions with compact=True. When compact=True it defaults to color, it is ignored otherwise.

combined: bool, optional

Flag for combining multiple chains into a single line. If False (default), chains will be plotted separately.

chain_prop: str or dict {str: array_like}, optional

Defines the property name and the property values to distinguish different chains. If compact=True it defaults to linestyle, otherwise it uses the color to distinguish different chains.

legend: bool, optional

Add a legend to the figure with the chain color code.

plot_kwargs, fill_kwargs, rug_kwargs, hist_kwargs: dict, optional

Extra keyword arguments passed to arviz.plot_dist(). Only affects continuous variables.

trace_kwargs: dict, optional

Extra keyword arguments passed to matplotlib.axes.Axes.plot()

labellerlabeller instance, optional

Class providing the method make_label_vert to generate the labels in the plot titles. Read the Label guide for more details and usage examples.

rank_kwargsdict, optional

Extra keyword arguments passed to arviz.plot_rank()

axes: axes, optional

Matplotlib axes or bokeh figures.

backend: {“matplotlib”, “bokeh”}, optional

Select plotting backend.

backend_config: dict, optional

Currently specifies the bounds to use for bokeh axes. Defaults to value set in rcParams.

backend_kwargs: dict, optional

These are kwargs specific to the backend being used, passed to matplotlib.pyplot.subplots() or bokeh.plotting.figure().

show: bool, optional

Call backend show function.

Returns:
axes: matplotlib axes or bokeh figures

See also

plot_rank

Plot rank order statistics of chains.

Examples

Plot a subset variables and select them with partial naming

>>> import arviz as az
>>> data = az.load_arviz_data('non_centered_eight')
>>> coords = {'school': ['Choate', 'Lawrenceville']}
>>> az.plot_trace(data, var_names=('theta'), filter_vars="like", coords=coords)
../../_images/arviz-plot_trace-1.png

Show all dimensions of multidimensional variables in the same plot

>>> az.plot_trace(data, compact=True)
../../_images/arviz-plot_trace-2.png

Display a rank plot instead of trace

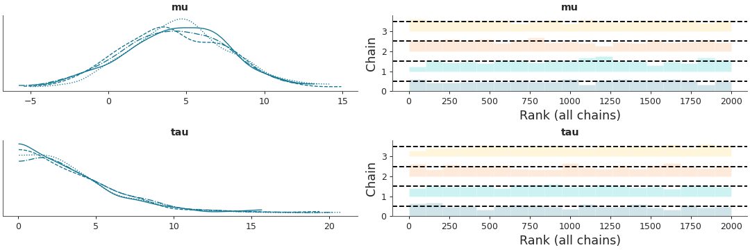
>>> az.plot_trace(data, var_names=["mu", "tau"], kind="rank_bars")
../../_images/arviz-plot_trace-3.png

Combine all chains into one distribution and select variables with regular expressions

>>> az.plot_trace(
>>>     data, var_names=('^theta'), filter_vars="regex", coords=coords, combined=True
>>> )
../../_images/arviz-plot_trace-4.png

Plot reference lines against distribution and trace

>>> lines = (('theta_t',{'school': "Choate"}, [-1]),)
>>> az.plot_trace(data, var_names=('theta_t', 'theta'), coords=coords, lines=lines)
../../_images/arviz-plot_trace-5.png